Pigment Coch 176-Corimax Coch HF3C
Rhestr paramedr cynnyrch
| Mynegai Lliw Rhif. | Pigment Coch 176 |
| Enw Cynnyrch | Corimax Coch HF3C |
| Categori cynnyrch | Pigment Organig |
| Rhif CAS | 12225-06-8 |
| Rhif yr UE | 235-425-2 |
| Teulu Cemegol | Benzimidazolone |
| Pwysau Moleciwlaidd | 572.57 |
| Fformiwla Moleciwlaidd | C32H24N6O5 |
| Gwerth PH | 7 |
| Dwysedd | 1.6 |
| Amsugno Olew (ml / 100g)% | 40-60 |
| Cyflymder Ysgafn (cotio) | 6 |
| Gwrthiant Gwres (cotio) | 180 |
| Cyflymder Ysgafn (plastig) | 6-7 |
| Gwrthiant Gwres (plastig) | 250 |
| Gwrthiant Dŵr | 5 |
| Gwrthiant Olew | 5 |
| Gwrthiant Asid | 5 |
| Gwrthiant Alcali | 4-5 |
Lliw | ![]() |
| Dosbarthiad arlliw |
Nodweddion:
Mae Pigment Red 176 yn bigment perfformiad uchel cysgodol bluish, gyda chyflymder rhagorol, ymwrthedd gwres uchel, ymwrthedd tryloyw a mudo.
TDS (Pigment Red 176) MSDS(Pigment Red 176)Cais :
Argymhellir ar gyfer paent diwydiannol, haenau powdr, pastau argraffu, PVC, rwber, PS, PP, AG, PU, inciau dŵr, inciau toddyddion, inciau UV.
Awgrymir ar gyfer paent modurol, haenau pensaernïol, haenau coil, inciau gwrthbwyso.
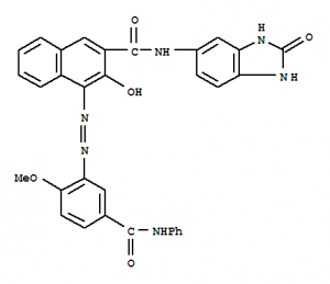
Strwythur Moleciwlaidd:

Priodweddau ffisegol a chemegol: glas a choch. Ysgafnder yw lefel 6. Mae sefydlogrwydd thermol yn uwch na 300 ℃. Mae ymwrthedd toddyddion organig yn cyrraedd 4 i 5 gradd, heb fudo.
Defnydd cynnyrch: Defnyddir yn bennaf ar gyfer lliwio plastigau.
Pigment Coch 176 Manyleb :
Mae'r 2-Naphthalenecarboxamide, N- (2,3-dihydro-2-oxo-1H-benzimidazol-5-il) -3-hydroxy-4- [2- [2-methoxy-5 - [(phenylamino) carbonyl] phenyl ] diazenyl] - yn gyfansoddyn organig gyda'r fformiwla C32H24N6O5. Enw systematig y cemegyn hwn yw phenyl 3-hydroxy-4- [2-methoxy-5- (phenylcarbamoyl) azo-N- (2-oxo-1,3-dihydrobenzimidazol-5-il) naphthalene-2-carboxamide. Gyda rhif cofrestrfa CAS 12225-06-8, mae hefyd wedi'i enwi fel N- (2,3-dihydro-2-oxo-1H-benzimidazol-5-il) -3-hydroxy-4 - [[2-methoxy- 5 - [(phenylamino) carbonyl] phenyl] azo] naphthalene-2-carboxamide. Categori’r cynnyrch yw Organics.
Priodweddau ffisegol tua 2-Naphthalenecarboxamide, N- (2,3-dihydro-2-oxo-1H-benzimidazol-5-il) -3-hydroxy-4- [2- [2-methoxy-5 - [(phenylamino) carbonyl ] phenyl] diazenyl] - yw: (1) ACD / LogP: 6.96; (2) # Rheol 5 Trosedd: 4; (3) ACD / LogD (pH 5.5): 6.95; (4) ACD / LogD (pH 7.4): 6.95; (5) #H derbynyddion bond: 11; (6) #H rhoddwyr bond: 5; (7) # Bondiau Cylchdroi yn Ddim: 8; (8) Arwynebedd Polar: 153.51 Å2; (9) Mynegai Plygiant: 1.721; (10) Plygiant Molar: 157.67 cm3; (11) Cyfrol Molar: 398.6 cm3; (12) polaredd: 62.5 × 10-24cm3; (13) Tensiwn Arwyneb: 61 dyne / cm; (14) Dwysedd: 1.43 g / cm3; (15) Pwynt Fflach: 357.3 ° C; (16) Enthalpi Anweddu: 101.63 kJ / mol; (17) Pwynt Berwi: 667.2 ° C ar 760 mmHg; (18) Pwysedd Anwedd: 2.05E-18 mmHg ar 25 ° C.










